
Imagine generată cu ajutorul AI
Orice plan financiar începe cu o întrebare simplă: de ce vrei să economisești? Pentru siguranță, pentru independență, pentru a-ți permite ceva anume sau pentru a construi un viitor mai relaxat? Când găsești răspunsul, procesul prin care descoperi cum sa strangi bani devine mai clar și mai ușor de respectat.
Economisirea nu înseamnă să te simți constrâns, vei descoperi că fiecare leu strâns lucrează pentru tine și îți oferă mai mult control asupra vieții de zi cu zi.
Stabilește-ți baza financiară

Imagine generată cu ajutorul AI
Soluția despre cum sa strangi bani, în mod poate paradoxal nu este legată de câștiguri spectaculoase, ci de a-ți construi o fundație.
Baza financiară înseamnă să știi exact de ce strângi bani: pentru siguranța ta și a familiei, pentru un fond de urgență, pentru un plan de investiții sau pentru a scăpa de presiunea datoriilor. Fără un „de ce” bine stabilit, economisirea devine greu de susținut pe termen lung.
Calculează veniturile și cheltuielile lunare
După ce ți-ai clarificat motivul, urmează partea practică: notează exact cât intră și cât iese din contul tău în fiecare lună. Veniturile includ salarii, colaborări, chirii, bonusuri. Cheltuielile sunt plățile fixe și recurente – chirie, rate, utilități, transport, dar și sumele mici care scapă neobservate.
Când le pui pe hârtie, descoperi rapid unde pierzi bani fără rost. Aici merită să faci diferența: cheltuielile „cu rost” sunt cele care îți asigură nevoile de bază sau susțin obiectivele tale (de exemplu, educație sau investiții), iar cele „fără rost” sunt de obicei plăți automate sau impulsive, care nu aduc valoare reală (abonamente nefolosite, comisioane evitable, cumpărături pe care le uiți în sertar).
Eliminând aceste scurgeri, construiești un surplus. Acela este primul tău capital, pe care îl poți direcționa către un obiectiv real. Iar pentru ca acest surplus să nu rămână doar economisit, ci să se înmulțească, ai nevoie să-l pui la lucru prin investiții.
O introducere în acest proces o găsești în Cursul „Primii pași pe bursă”. Este gratuit, durează 3 zile și îți arată cum să transformi banii economisiți într-un plan financiar coerent, fără să te simți copleșit de termeni complicați.
Identifică cheltuielile esențiale și neesențiale
După ce ți-ai făcut calculele lunare, următorul pas pentru o bază financiară solidă este să delimitezi ce e cu adevărat important de ce poate fi tăiat.
Cheltuielile esențiale sunt acelea care îți asigură traiul de zi cu zi și nu pot fi evitate: locuință, utilități, hrană, sănătate. Cheltuielile neesențiale sunt cele care pot fi reduse sau amânate fără să îți afecteze siguranța: ieșiri prea dese la restaurant, gadgeturi cumpărate din impuls, haine similare celor pe care deja le ai.
Dacă vrei să înțelegi mai bine cum sa strangi bani, exercițiul e simplu: întreabă-te pentru fiecare plată dacă îți susține obiectivele sau doar îți consumă resursele. Nu e vorba să renunți la toate plăcerile, ci să le alegi pe cele care merită cu adevărat.
Iar banii economisiți astfel pot fi direcționați către oportunități de creștere. Un exemplu accesibil este Cursul de Trading Crypto, unde înveți pas cu pas cum să transformi surplusurile în surse suplimentare de venit, cu instrumente moderne și aplicabile imediat.
Setează un obiectiv clar de economisire
Economisirea funcționează atunci când are o direcție precisă. În loc să pui bani deoparte la întâmplare, decide de la început ce vrei să obții.
Dacă te întrebi cum sa strangi bani, gândește-te la un scop concret: un fond de urgență, avansul pentru o locuință, educația copilului sau capital pentru investiții. Stabilește suma și perioada de timp, apoi urmărește progresul.
Un obiectiv clar îți dă disciplină și motivație. Fiecare sumă economisită devine un pas vizibil către rezultat. După ce ai acoperit nevoile de bază și ai pus deoparte banii pentru siguranță, poți trece la nivelul următor: să îți multiplici economiile prin investiții.
Un exemplu accesibil este Cursul de tranzacționare FOREX. Este gândit pentru începători și arată cum să folosești o parte din economii pentru a construi o strategie de creștere pe piața valutară, cu reguli clare și risc controlat.
Metode rapide de a strânge bani

Imagine generată cu ajutorul AI
După ce ai pus bazele financiare, vine partea practică: să vezi cum poți obține rezultate vizibile într-un timp scurt, prin schimbări simple de comportament.
Aplică regula celor 24 de ore pentru cumpărături
Una dintre cele mai eficiente metode pentru cum sa strangi bani este regula celor 24 de ore. Ideea e simplă: atunci când vrei să cumperi ceva și vrei să verifici dacă este esențial, amână decizia pentru o zi.
În majoritatea cazurilor, după 24 de ore realizezi că nu ai cu adevărat nevoie de acel obiect și economisești banii.
Pentru sumele mai mari, poți aplica o variantă extinsă — „regula celor 3 zile”. În acest timp, verifici dacă achiziția chiar îți aduce valoare și dacă se încadrează în bugetul stabilit.
Diferența e că, pentru obiectele costisitoare, riscul de a regreta este mai mare, iar răgazul de 72 de ore îți dă claritate.
Această disciplină funcționează ca un filtru împotriva cumpărăturilor impulsive. Ea te ajută să faci diferența între dorințe de moment și nevoi reale. În timp, vei observa că multe dintre sumele mici și mari astfel economisite se adună și creează un fond vizibil.
Pentru a transforma acest fond într-o strategie de creștere pe termen lung, ai la dispoziție Cursul „Primul portofoliu investițional”. Acest program durează 10 zile și îți arată cum să îți construiești un portofoliu profitabil, trecând de la analiza companiilor la diversificarea investițiilor.
Vinde lucruri pe care nu le mai folosești
O metodă directă și rapidă atunci când cauți soluții practice despre cum sa strangi bani este să valorifici obiectele pe care nu le mai folosești. Haine în stare bună, electronice funcționale, mobilier sau echipamente de sport pot aduce sume neașteptate dacă le vinzi pe platforme online sau în grupuri dedicate.
Procesul are două avantaje clare: eliberezi spațiul din casă și transformi lucrurile neutilizate în bani lichizi. Este o formă simplă de a crea capital imediat, fără să depinzi de salariu sau de o sursă externă.
Aceste sume, chiar dacă la început par mici, pot deveni punctul de plecare pentru o strategie financiară mai amplă.
Dacă vrei să înveți cum să îți creezi un portofoliu care să producă venituri constante din dividende, o resursă utilă este Cursul Income Stocks. Îți arată cum să analizezi companiile, să alegi acțiunile potrivite și să pui la lucru banii pe care i-ai obținut din vânzări sau economisiri.
Redu cheltuielile mici, dar frecvente
Un alt pas simplu pentru cine caută cum sa strangi bani este să urmărești plățile mici care se repetă constant. Cafeaua zilnică din oraș, livrările de mâncare comandate din obișnuință sau aplicațiile cu abonamente lunare adună sume importante în timp.
Pe termen scurt, poate părea că nu contează câțiva lei pe zi. Dar dacă faci calculele la nivel de lună sau an, vei descoperi un potențial serios de economisire.
De exemplu:
- O cafea de 15 lei pe zi înseamnă peste 450 de lei pe lună.
- Două livrări de mâncare pe săptămână pot ajunge la 600–700 de lei pe lună.
- Un abonament de streaming uitat în fundal costă 30–40 de lei lunar, adică aproape 500 de lei pe an.
Pe termen scurt, pare puțin. Dar la nivel de an, aceste sume devin câteva mii de lei, bani care ar putea fi direcționați către un fond de urgență sau chiar către investiții.
Totuși nu e nevoie să renunți complet la aceste plăceri, ci doar să le reduci și să le înlocuiești cu alternative mai eficiente.
Banii economisiți astfel devin un capital suplimentar pe care îl poți orienta către obiective financiare. Chiar dacă par sume mici, combinate cu alte metode pot susține investiții reale.
Dacă vrei să înveți cum să îți folosești resursele pentru a crea creștere constantă și venituri pasive, poți parcurge Cursul Growth & Income Stocks. Îți arată strategii prin care portofoliul tău să îmbine atât acțiuni de creștere, cât și acțiuni care plătesc dividende, astfel încât economiile să se multiplice în timp.
Folosește aplicații de cashback sau reduceri
Tehnologia poate fi un aliat valoros atunci când cauți metode clare despre cum sa strangi bani. Aplicațiile de cashback și platformele de reduceri îți întorc o parte din banii cheltuiți, direct în contul tău. Practic, cumperi un produs la prețul normal, iar aplicația îți returnează între 1% și 10% din valoare, în funcție de ofertă și de partenerii comerciali.
De exemplu:
- Revolut sau Curve oferă cashback la plăți în parteneriat cu magazine selectate.
- Letyshops sau Bonusway îți dau înapoi un procent din cumpărăturile online.
- Honey sau extensiile similare aplică automat coduri de reducere înainte de a finaliza comanda.
Aceste instrumente nu îți schimbă stilul de viață, dar transformă o parte din cheltuielile curente în bani economisiți. Folosite constant, ele aduc sume vizibile într-un fond pe care îl poți direcționa către obiective financiare mai mari.
Pentru a înțelege cum poți folosi și tehnologia financiară modernă în avantajul tău, un exemplu relevant este Cursul Blockchain Starter Pack. Aici afli cum funcționează criptomonedele și ecosistemul blockchain, astfel încât să profiți de oportunități noi de economisire și investiții.
Provocări și trucuri creative

Imagine generată cu ajutorul AI
După ce ai încercat metodele clasice, poți adăuga și soluții mai creative, care transformă economisirea într-un exercițiu practic și chiar distractiv.
Provocarea celor 100 de plicuri
Provocarea celor 100 de plicuri este un exercițiu popular pentru cei care vor să vadă rapid cum sa strangi bani fără să depindă doar de tabele sau aplicații. Metoda e simplă: pregătești 100 de plicuri numerotate de la 1 la 100. În fiecare zi sau săptămână, alegi un plic la întâmplare și pui în el suma corespunzătoare numărului scris.
Dacă alegi plicul cu 37, atunci pui 37 lei. Dacă alegi pe cel cu 82, pui 82 lei. Ideea e că alegerea e aleatorie — uneori dai peste o sumă mică, alteori peste una mai mare. Asta face tot jocul mai interesant și mai greu de „amânat”.
La final, dacă reușești să umpli toate cele 100 de plicuri, vei avea:

E formulă matematică pentru suma primelor 100 de numere întregi.
Unii adaptează provocarea:
- în loc de lei, folosesc euro sau dolari (rezultatul final e mai mare);
- în loc de 100 de plicuri, aleg 50 (totalul devine 1.275 lei);
- unii folosesc aplicații de tip „envelope method”, dar principiul rămâne același.
În ceea ce privește frecvența alegerii plicului, aici ai flexibilitate — regula nu e bătută în cuie, dar există câteva variante testate:
- Zilnic → alegi câte un plic în fiecare zi. În 100 de zile (puțin peste 3 luni), ai completat provocarea și ai 5.050 lei strânși. Ritmul e intens, dar vezi rezultate foarte repede.
- Săptămânal → alegi un plic pe săptămână. Atunci durează aproape 2 ani să termini provocarea, dar impactul asupra bugetului lunar e mult mai ușor de gestionat.
- De 2–3 ori pe săptămână → o variantă de mijloc: în aproximativ 8–12 luni poți finaliza toate plicurile.
Mulți preferă metoda „trag un plic când simt că am disponibilitate financiară”. Adică nu e un calendar fix, dar important e să rămâi consecvent și să nu abandonezi pe parcurs.
Este un mod vizual și motivant de a-ți atinge un obiectiv, pentru că vezi progresul fizic pe măsură ce plicurile se umplu.
Această provocare poate fi adaptată: poți începe cu doar 50 de plicuri sau cu sume mai mici, dacă vrei un ritm mai accesibil. Important este că îți construiește disciplina și îți arată cât de repede se adună banii atunci când aplici un sistem clar.
Pentru ca aceste sume să nu rămână doar puse deoparte, ci să le folosești mai departe, poți apela la Cursul Analiză Tehnică pentru Începători. Acolo vei învăța cum să citești grafice și tendințe, astfel încât banii economisiți să poată fi investiți cu o strategie simplă și inteligentă.
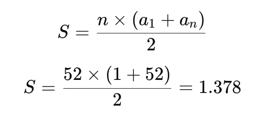
Provocarea 52 de săptămâni
Provocarea celor 52 de săptămâni este o altă metodă simplă și vizuală prin care poți exersa cum sa strangi bani. Funcționează pe parcursul unui an întreg și presupune să economisești săptămânal o sumă progresivă.
Schema este următoarea: în săptămâna 1 pui deoparte 1 leu, în săptămâna 2 pui 2 lei, în săptămâna 3 pui 3 lei și așa mai departe, până ajungi la săptămâna 52, când vei pune 52 de lei. La finalul anului, vei avea 1.378 de lei economisiți.
Provocarea e construită pe o progresie aritmetică simplă.
- Prima valoare (a₁) = 1
- Ultima valoare (aₙ) = 52
- Număr de termeni (n) = 52
- Suma progresiei se calculează cu formula:

Deci la final ai exact 1.378 lei strânși, dacă începi cu 1 leu și crești săptămânal cu câte 1 leu.
Dacă vrei o versiune mai „accelerată”, poți schimba baza progresiei:
- a₁ = 5 și aₙ = 260 → la final strângi 6.890 lei.
- a₁ = 10 și aₙ = 520 → la final ajungi la 13.780 lei.
Menținând progresia săptămânală, rezultatul final crește proporțional și devine un capital vizibil pentru planurile tale.
Această provocare are avantajul disciplinei: te obligă să contribui în fiecare săptămână și îți arată cum sumele mici, adunate constant, dau un rezultat concret.
Pentru a duce mai departe disciplina în zona de investiții, poți explora Cursul Analiză Tehnică pentru Avansați, unde înveți cum să folosești indicatori și grafice complexe pentru a decide ce faci cu banii strânși.
Zile fără cheltuieli
O altă metodă pentru cum sa strangi bani este să introduci periodic „zile fără cheltuieli”. Asta înseamnă să alegi una sau două zile pe săptămână în care nu faci nicio plată — nu cumperi nimic, nu comanzi nimic, nu plătești facturi, nu ieși la restaurant.
Scopul nu este să te privezi, ci să îți dai seama cât de multe plăți sunt de fapt automate și neesențiale. În aceste zile, folosești ce ai deja acasă: gătești cu alimentele din frigider, folosești transportul pe care l-ai plătit deja sau pur și simplu te bucuri de activități care nu implică bani.
Exercițiul creează conștientizare și, dacă îl repeți, vei observa că reușești să elimini multe obiceiuri de consum inutile. Într-o lună, două zile fără cheltuieli pe săptămână pot aduce economii de câteva sute de lei.
Banii astfel păstrați devin resursă pentru planurile mai mari.
Dacă vrei să îi vezi crescând constant, chiar și atunci când nu ai timp să îi gestionezi zilnic, poți învăța cum funcționează Cursul Sisteme Automatizate Long Term. Îți arată cum să creezi o strategie care lucrează în fundal, astfel încât banii să se multiplice în timp ce tu îți vezi de activitățile tale.
Pune deoparte 10% din venituri
O regulă clasică, dar extrem de eficientă pentru cine vrea să învețe cum sa strangi bani, este să pui deoparte 10% din veniturile tale, indiferent de mărimea lor. Poate fi salariu, bonus, comision sau venit dintr-o colaborare. Important este să transformi economisirea într-un obicei constant.
Cel mai simplu mod este să tratezi economisirea ca pe o „factură obligatorie” către tine însuți. În ziua în care primești banii, mută imediat 10% într-un cont separat. Dacă amâni, riști să cheltuiești toată suma și să nu mai rămână nimic pentru obiectivele tale.
La început, poate părea greu să reziști tentației, dar după câteva luni vei vedea că regula se respectă natural și contul de economii începe să crească. Dacă ai posibilitatea, poți ridica procentul la 15% sau chiar 20%. De fapt, cu cât ai venitul mai mare, cu atât poți economisi un procent mai mare, pe care îl poți investi.
Când suma devine suficient de consistentă, pasul următor este să o pui la lucru printr-o strategie de investiții. O resursă utilă pentru acest nivel este Cursul Sisteme Automatizate Trading, unde înveți cum să folosești algoritmi și platforme automate pentru ca economiile tale să se multiplice, chiar și atunci când tu nu urmărești piața în fiecare zi.

Recompensează-te doar dacă economisești
O strategie care funcționează bine pentru cei care caută cum sa strangi bani este să legi recompensele personale de economisire. În loc să îți oferi mici plăceri oricând, stabilește regula: te răsfeți doar atunci când ai pus bani deoparte conform planului.
De exemplu, dacă reușești să economisești 500 de lei într-o lună, îți permiți o ieșire la restaurant sau o experiență care îți face plăcere. Astfel, recompensa nu mai devine un cost suplimentar, ci un bonus condiționat de progresul financiar.
Această abordare îți schimbă relația cu banii: fiecare satisfacție este legată de un pas înainte. În timp, obiceiul te disciplinează și îți consolidează atât motivația, cât și fondul de economii.
Pentru sumele acumulate, mai ales dacă preferi instrumente cu risc scăzut, o soluție practică este să înveți cum funcționează Cursul de Obligațiuni. Acolo descoperi cum poți transforma economiile în venituri regulate prin investiții stabile, care îți aduc flux de numerar constant.
Cum să menții obiceiul de economisire

Imagine generată cu ajutorul AI
Economisirea este obicei care se consolidează în timp, în niciun caz un efort pe termen scurt. Pentru a rămâne consecvent, ai nevoie de metode care reduc tentațiile și simplifică procesul.
Automatizează transferul către contul de economii
Dacă vrei o metodă cum sa strangi bani și să eviți riscul de a cheltui tot venitul, automatizarea este cel mai sigur ajutor. Setează la bancă un transfer recurent din contul principal către contul de economii imediat după ziua în care primești salariul sau alte venituri.
Această regulă elimină deciziile zilnice și te obligă să trăiești cu restul sumei disponibile. După câteva luni, vei observa că nu mai percepi economisirea ca pe un efort, ci ca pe o rutină naturală.
Automatizarea funcționează ca un filtru de disciplină: îți creează un flux constant de bani puși deoparte, fără să îți consumi energia pentru a decide de fiecare dată.
Obiceiul de economisire se poate lega de contextul economic mai larg. Poți explora Cursul de Macroeconomie. Acolo afli cum deciziile băncilor centrale și indicatorii economici îți influențează direct economiile și de ce e important să ai o strategie pe termen lung.
Revizuiește bugetul lunar la fiecare 3 luni
Economisirea eficientă înseamnă să pui bani deoparte, dar și să verifici periodic dacă planul tău este realist. O metodă practică pentru cine vrea să învețe cum sa strangi bani este să revizuiască bugetul o dată la 3 luni.
În acest interval, multe lucruri se pot schimba: prețuri, venituri, abonamente noi, obiective personale. Reevaluarea trimestrială îți arată dacă rămâi pe direcția corectă sau dacă trebuie să ajustezi. Poate descoperi cheltuieli care au crescut treptat sau economii care pot fi direcționate mai bine.
Această practică previne blocajele și te ajută să menții echilibrul între viața de zi cu zi și obiectivele financiare. În timp, devine un obicei care te menține disciplinat, dar și flexibil la schimbările din jur.
Pentru a duce mai departe acest principiu și să ajustezi constant investițiile în funcție de piață, o resursă utilă este Cursul ETF-uri. Te ajută să descoperi cum să construiești un portofoliu diversificat și să faci ajustări regulate, la fel cum faci cu bugetul personal.
Folosește un cont separat pentru economii
O metodă simplă de aplicat pentru cum sa strangi bani este să deschizi un cont separat dedicat economiilor. Ținerea banilor într-un singur cont crește riscul de a-i cheltui fără să-ți dai seama, pentru că vezi permanent o sumă mai mare disponibilă.
Un cont separat îți creează o barieră psihologică. Suma pusă deoparte devine „intangibilă” și nu mai intră în bugetul de zi cu zi. În timp, această distanță te ajută să rămâi disciplinat și să vezi clar progresul.
Poți alege un cont simplu de economii sau unul cu dobândă, important este să fie distinct și să aibă transferuri regulate. Chiar și sume mici, depuse constant, se acumulează vizibil atunci când sunt separate de cheltuielile curente.
Pentru a învăța cum să investești aceste economii într-o strategie de investiții bazată pe identificarea companiilor valoroase, o resursă practică este Cursul Value Investing. Acolo descoperi cum să transformi banii economisiți într-un portofoliu solid, cu potențial de creștere pe termen lung.
Nu te descuraja dacă depășești bugetul
Oricine învață cum sa strangi bani se confruntă, la un moment dat, cu depășiri de buget. Este normal și face parte din proces. Important este să privești aceste situații ca pe o lecție, nu ca pe un eșec.
Dacă ai cheltuit mai mult într-o lună, analizează unde s-a întâmplat și ajustează planul pentru luna următoare. Astfel, transformi o greșeală într-un punct de învățare. Perseverența și ajustările regulate sunt cele care consolidează obiceiul de economisire.
Economisirea nu este un exercițiu de perfecțiune, ci unul de disciplină pe termen lung. Ceea ce contează este să revii la plan și să continui, chiar dacă apar abateri pe parcurs.
Pentru motivație și pentru a-ți lărgi perspectiva, poți participa la Cursul gratuit „Bursa Maldive”. În 3 zile, îți oferă o imagine clară despre cum să îți privești finanțele și cum să transformi economiile într-un plan de investiții realist și adaptabil.
Concluzie

Imagine generată cu ajutorul AI
Procesul prin care descoperi cum sa strangi bani ține de un set de obiceiuri aplicate constant mai degrabă decât de trucuri rapide. Baza financiară, metodele creative și instrumentele moderne lucrează împreună pentru același scop: să transformi economisirea într-un stil de viață.
Cheia este consecvența. Poți începe cu pași mici — amânarea cumpărăturilor, vânzarea lucrurilor nefolosite sau zile fără cheltuieli. Apoi adaugi obiective clare, revizuiri periodice și instrumente care îți fac munca mai ușoară, precum automatizarea sau conturile separate.
Pe măsură ce disciplina se instalează, economiile devin capital disponibil pentru investiții. Aici începe adevărata schimbare: nu doar pui bani deoparte, ci îi faci să lucreze pentru tine.Dacă vrei să ai un punct de start accesibil și structurat, resursa ideală este Cursul „Primii pași pe bursă”. Este gratuit, durează 3 zile și îți oferă ghidajul necesar pentru a trece de la simpla economisire la un plan financiar coerent și sustenabil.