IRCC este un subiect care a stârnit multe discuții în România, mai ales după ce a înlocuit vechiul ROBOR. Diferența este modul în care se calculează și de efectele directe asupra creditelor pe care le plătesc persoanele fizice.
În rândurile de mai jos, vei găsi explicații despre cum funcționează IRCC bnr, cum se raportează la ROBOR și ce înseamnă concret pentru ratele lunare.
După ce românii au acuzat de nenumărate ori autoritățile financiare că din cauza nivelului ROBOR plătesc mai mulți bani la creditele în lei, Guvernul a înlocuit în 2019, ROBOR-ul cu alt indice IRCC bnr, printr-o ordonanță de urgență.
La acel moment, IRCC avea o valoare de 2,36% spre deosebire de indicele ROBOR la 3 luni care era, cu o zi înainte de ordonanță, 3,37%.
Cum se calculează indicele IRCC?

IRCC bnr = Indicele de Referință pentru Creditele Consumatorilor, este un indicator introdus în România în mai 2019 (prin OUG nr. 19/2019), care a înlocuit în contractele noi indicele ROBOR pentru creditele de retail (persoane fizice).
Dacă vrei să afli mai multe despre cum funcționează indicii de referință în general, nu numai IRCC bnr și ce impact au asupra finanțelor personale, cursul Primii Pași pe Bursă oferă un cadru util de învățare.
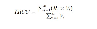
1. Baza de calcul: tranzacții interbancare reale
IRCC este calculat și publicat de BNR (IRCC bnr) . Acesta reprezintă media ponderată a dobânzilor la tranzacțiile interbancare reale, efectuate de băncile comerciale din România (nu cotații sau estimări, ca la LIBOR sau ROBOR).
Cei interesați să aprofundeze mecanismele pieței interbancare pot găsi informații practice și în Cursul Forex, unde sunt explicate relațiile dintre dobânzi și tranzacții.”
În calculul IRCC se iau în considerare tranzacțiile efective în lei pe piața interbancară (împrumuturi overnight, la o zi) și se calculează ca medie zilnică pe trimestru, iar rezultatul se aplică pentru trimestrul următor.
Formula oficială a IRCC este stabilită prin OUG 19/2019 și detaliată de BNR, și este:
unde:
- Ri = rata dobânzii aferentă tranzacției interbancare i (dobânda efectiv plătită între bănci pentru împrumuturile în lei).
- Vi = volumul tranzacției interbancare i (suma efectiv împrumutată).
- n = numărul total al tranzacțiilor interbancare din perioada de calcul.
Cum se aplică formula
- Se iau toate tranzacțiile interbancare overnight (O/N) efectuate zilnic pe piața monetară.
- Se calculează media ponderată zilnică a dobânzilor, folosind formula de mai sus.
- Apoi se face media aritmetică a acestor valori zilnice pe durata întregului trimestru.
- Rezultatul este IRCC bnr trimestrial, publicat de BNR la finalul trimestrului și aplicat creditelor în următorul trimestru.
De exemplu: pentru perioada 1 ianuarie – 31 martie, BNR calculează IRCC conform formulei de mai sus, iar valoarea este publicată în jurul datei de 30 aprilie și se aplică creditelor trimestrului următor, 1 mai – 31 iulie.
2. Frecvența de actualizare: trimestrial
Frecvența de calcul și comunicare a IRCC este reglementată prin OUG 19/2019 și prin procedura BNR după cum urmează:
Se calculează IRCC bnr în felul următor:
- IRCC bnr se calculează zilnic, ca medie ponderată a dobânzilor tranzacțiilor interbancare overnight (piața monetară).
- Pentru uz public, BNR face apoi media aritmetică a valorilor zilnice pe întregul trimestru calendaristic.
Se comunică IRCC bnr:
- BNR publică valoarea IRCC la sfârșitul fiecărui trimestru (în ultima zi lucrătoare).
- Valoarea publicată se aplică pentru trimestrul următor întreg.
Exemplu:
- Pentru tranzacțiile din perioada 1 ianuarie – 31 martie 2025 se calculează media trimestrială rezultând IRCC bnr.
- La 31 martie 2025, BNR publică IRCC-ul aferent.
- Această valoare este folosită de bănci în contractele cu persoane fizice pentru perioada 1 aprilie – 30 iunie 2025.
Această metodă de calcul și comunicare al indicelui, aduce următoarele avantaje pentru clienți:
- Debitorii știu cu certitudine dobânda pentru un trimestru întreg, fără fluctuații zilnice sau săptămânale.
- Sistemul oferă predictibilitate (spre deosebire de ROBOR, care era zilnic și se putea schimba oricând).
Pentru a înțelege cum frecvența de calcul influențează prețurile și strategiile de investiții, un punct de plecare poate fi Cursul de Investiții la Bursă.
3. Publicarea de către BNR
BNR afișează trimestrial, pe site-ul propriu, în ultima zi lucrătoare a trimestrului,, la secțiunea Indicatori / IRCC, un document oficial (PDF / tabele) cu valoarea IRCC. Alte site-uri (ex. cursbnr.ro, ziare financiare) preiau informația de la BNR.
Tabelul cuprinde:
- Perioada de tranzacții (trimestrul anterior)
- Valoarea IRCC (ex. 5,55%)
- Data aplicării (începând cu 1 aprilie 2025, de exemplu)
Pe lângă IRCC trimestrial, BNR publică și valorile IRCC zilnic și IRCC lunar, pur informativ, în seria de statistici monetare.
Pentru contractele de credit se folosește doar IRCC trimestrial.
Iată mai jos perioadele de comunicare a valorilor IRCC bnr și perioadele de aplicare pe un an de zile:
| Perioada tranzacțiilor interbancare (de calcul) | Publicare de către BNR | Perioada de aplicare la credite |
| 1 ianuarie – 31 martie | 30 aprilie | 1 mai – 31 iulie |
| 1 aprilie – 30 iunie | 31 iulie | 1 august – 31 octombrie |
| 1 iulie – 30 septembrie | 31 octombrie | 1 noiembrie – 31 ianuarie (an următor) |
| 1 octombrie – 31 decembrie | 31 ianuarie (an următor) | 1 februarie – 30 aprilie (an următor) |
4. IRCC la 3 luni vs alte perioade
Există mai multe variante de IRCC, dar în practică, pentru populație, se folosește doar cel la 3 luni.
Variantele teoretice:
- IRCC zilnic – publicat intern de BNR (nu pentru clienți), rezultă din tranzacțiile efective overnight ale zilei.
- IRCC la 1 lună – media aritmetică a IRCC bnr zilnic pe o lună calendaristică.
- IRCC la 3 luni – media aritmetică a IRCC zilnic pe un trimestru calendaristic (acesta este indicele oficial aplicat creditelor pentru persoane fizice).
- IRCC la 6 luni și 12 luni – există în metodologia BNR, dar sunt folosite doar ca indicatori statistici sau de comparație.
În practică regăsim următoarele situații:
- IRCC 3M este singurul publicat oficial și folosit în contractele de credit noi pentru persoane fizice (începând cu mai 2019).
- IRCC 1M este calculat de BNR, dar publicarea e tehnică, pe site-ul lor, și nu intră în contracte standard.
- IRCC 6M și 12M sunt valori informative, nu intră în calculul dobânzilor pentru retail.
Comunicarea și calculul la 3 luni are următoarele avantaje:
- predictibilitate pentru debitori: dobânda se schimbă doar trimestrial, nu lunar sau zilnic.
- BNR a mers pe modelul folosit și în alte piețe (ex. Euribor 3M este indicele dominant în creditele europene).
- Un indice la 1 lună ar fi prea volatil, iar la 6–12 luni ar fi prea inert (nu ar mai reflecta piața curentă).
Practic, dacă iei un credit în lei cu dobândă variabilă legată de IRCC, este automat IRCC 3M + marja băncii, recalculat și aplicat o dată la 3 luni.
Cum influențează IRCC dobânda la credite?

IRCC bnr influențează următoarele tipuri de contracte:
Credite pentru persoane fizice (retail)
- Credite ipotecare noi, acordate după mai 2019 → dobânda variabilă se leagă de IRCC + marja băncii.
- Credite de consum pentru persoane fizice → la fel, dacă sunt cu dobândă variabilă, se raportează la IRCC.
- Contractele de credit semnate înainte de mai 2019, care erau legate de ROBOR, au rămas pe ROBOR, cu excepția cazului în care clientul și banca au convenit trecerea la IRCC.
Refinanțări
- Dacă refinanțezi un credit ipotecar sau de consum după mai 2019, noul contract se face cu IRCC ca referință (nu cu ROBOR).
IRCC bnr nu influențează următoarele tipuri de credite (excluderi):
- Creditele pentru companii (firme, PFA, IMM-uri, corporații) nu sunt legate de IRCC, ci de ROBOR sau de alți indici (EURIBOR, LIBOR, etc., în funcție de monedă și înțelegerea contractuală).
- Creditele în valută nu se raportează la IRCC, ci la indici internaționali (Euribor pentru euro, SOFR pentru USD, etc.).
Pe scurt, IRCC bnr se aplică strict contractelor de credit noi pentru persoane fizice, în lei, acordate după mai 2019.
IRCC vs ROBOR – care este mai avantajos?

Este interesant de analizat care dintre cei doi indici, cel vechi, ROBOR, sau noul IRCC este mai avantajos pentru cei care au avut sau vor avea nevoie de un credit bancar.
Vom analiza în continuare aspectele particulare caracteristice fiecăruia dintre cele două.
1. Stabilitate vs volatilitate
Să comparăm cei doi indici pentru a avea o mai bună imagine.
IRCC (Indice de Referință pentru Creditele Consumatorilor)
- Stabilitate: se actualizează doar trimestrial (o valoare fixă pentru 3 luni).
- Volatilitate redusă: chiar dacă dobânzile interbancare sar într-o zi cu +1% sau scad brusc, efectul se diluează într-o medie pe ~60 de zile lucrătoare.
- Predictibilitate: debitorii știu sigur cât vor plăti 3 luni la rând, fără surprize lunare sau zilnice.
- Dezavantaj: reacționează cu întârziere. Dacă dobânzile scad rapid, debitorii mai plătesc câteva luni la nivelul vechi.
ROBOR (Romanian Interbank Offer Rate)
- Volatilitate: se calcula zilnic, pe baza cotațiilor între bănci. Ratele clienților se puteau modifica mult mai des.
- Sensibil la șocuri: un eveniment de piață (criză valutară, declarație politică, scădere lichiditate) putea duce la salturi bruște.
- Reactivitate rapidă: reflecta aproape instantaneu condițiile de piață, deci bancherii considerau că e mai „corect” ca indice de piață.
- Problema principală: se baza pe cotații declarative, deci era vulnerabil la manipulări sau „aranjamente” între bănci.
Comparație stabilitate și volatilitate
| Caracteristică | IRCC | ROBOR |
| Bază de calcul | Tranzacții reale interbancare | Cotații declarative (estimări) |
| Frecvență aplicare | O dată la 3 luni | Zilnic |
| Stabilitate pentru debitori | Foarte mare | Redusă |
| Volatilitate în piață | Mică (medie trimestrială) | Mare (sensibil la șocuri zilnice) |
| Timp de reacție la piață | Întârziat 1–3 luni | Aproape instantaneu |
Deci, pentru clienți (persoane fizice), IRCC înseamnă mai multă predictibilitate și protecție contra șocurilor zilnice, iar pentru bănci și piețe financiare, ROBOR era mai „adevărat” ca termometru al lichidității, dar mult mai volatil și contestat.
Pentru a vedea și cum arată extremele de volatilitate, Cursul Crypto oferă o privire directă asupra piețelor digitale, unde reacțiile sunt mult mai rapide decât în cazul indicilor financiari tradiționali.
2. Reacție întârziată vs rapidă
Să vedem cum se comportă IRCC bnr față de alți indici folosiți pe piețele de capital. Vom lua în continuare fiecare indice pe rând:
1. IRCC (România, introdus din 2019)
- Reacție întârziată: se bazează pe media tranzacțiilor interbancare din trimestrul anterior.
- Dacă dobânzile cresc brusc azi, efectul se simte în rate peste 1–3 luni.
- Avantaj: protejează debitorii de șocuri bruște.
- Dezavantaj: când dobânzile scad, debitorii rămân câteva luni cu dobânzi mai mari decât „realitatea” pieței.
2. ROBOR (România, folosit până în 2019 pentru credite retail)
- Reacție rapidă: reflectă cotațiile zilnice între bănci.
- Dobânda la credit se actualiza periodic (ex. la 3M sau 6M), dar valoarea folosită era cea din ziua respectivă.
- Avantaj: rata dobânzii „mergea în pas” cu piața.
- Dezavantaj: extrem de volatilă și vulnerabilă la manipulări.
3. EURIBOR (zona euro)
- Publicat zilnic pentru 1M, 3M, 6M, 12M.
- Contractele iau de obicei EURIBOR 3M sau 6M → deci reacția e mai rapidă decât la IRCC, dar tot cu un mic decalaj (în ziua de resetare).
- Exemplu: dacă BCE urcă dobânda azi, în câteva zile EURIBOR crește și rata clientului se ajustează la următoarea revizuire.
4. SOFR (SUA, înlocuitorul LIBOR)
- Bază: tranzacții reale cu garanții (repo market).
- Publicare: zilnic, dar există și variante 30 zile, 90 zile (compounded averages).
- Reacție: aproape imediată la schimbările Fed.
Ca urmare, putem spune ca IRCC este stabil, valorile vin cu întârziere dar nu se schimbă timp de un trimestru, deci e bun pentru predictibilitate și mai greu pentru cei care vor să profite imediat de scăderi. ROBOR/EURIBOR sunt mai rapide, dar expun debitorii la volatilitate., SOFR este instantaneu, reflectă aproape în timp real politica monetară.
3. Impact în ratele lunare
Dacă există șocuri externe (crize economice, politice, catastrofe naturale, etc), IRCC bnr reacționează, având impact asupra:
- Tranzacțiilor interbancare. Băncile se împrumută între ele, iar dacă dobânda BNR crește (ca reacție la inflație / război / crize), și dobânzile interbancare cresc.
- Ca urmare, IRCC, care se calculează ca medie zilnică pe întreg trimestrul, va crește și se va publica la finalul trimestrului.
- În trimestrul următor, se va aplica creditelor, ce vor crește și ele, cu un decalaj de 1–3 luni între șoc și efectul în rate.
Să luăm un exemplu cu un credit ipotecar de 250.000 lei, eșalonat pe 25 ani, cu dobândă = IRCC + 3% marja băncii.
Ce se poate întâmpla cu ratele în cazul unei crize cum a fost aceea din 2022 când Ucraina a fost invadata de către Rusia.
Situația 2021 (stabilă)
- IRCC T4 2021 = 1,86%
- Dobânda totală = 1,86% + 2% = 3,86%
- Rata lunară ≈ 1.290 lei
După șocul din 2022 (dobânzi în creștere)
- IRCC T1 2022 = 2,65% → rata ≈ 1.370 lei
- IRCC T2 2022 = 4,06% → rata ≈ 1.590 lei
- IRCC T3 2022 = 5,71% → rata ≈ 1.850 lei
IRCC T4 2022 = 5,98% → rata ≈ 1.890 lei
Rezultatul crizei:
- În decurs de 1 an, rata lunară a crescut cu peste 600 lei (de la 1.290 la 1.890 lei).
- Creșterea a fost în trepte trimestriale, nu bruscă.
Deci, în decurs de 1 an (2022), un debitor cu credit de 250.000 lei a ajuns să plătească cu 43% mai mult la rată. Asta înseamnă echivalentul a aproape o jumătate de rată în plus, comparativ cu situația inițială.
Concluzie

Indicele IRCC a adus mai multă predictibilitate pentru debitori, dar și o întârziere în reacția la mișcările pieței. Pentru cei cu credite, acest lucru poate fi un avantaj sau un dezavantaj, în funcție de cum evoluează dobânzile. Este bine să știi cum funcționează mecanismul pentru a lua deciziile financiare cu informațiile la dispoziție.
Pentru cei care doresc să-și planifice pe termen lung finanțele personale, inclusiv creditele, un program complex precum Educație Financiară Completă oferă o perspectivă aplicată.

